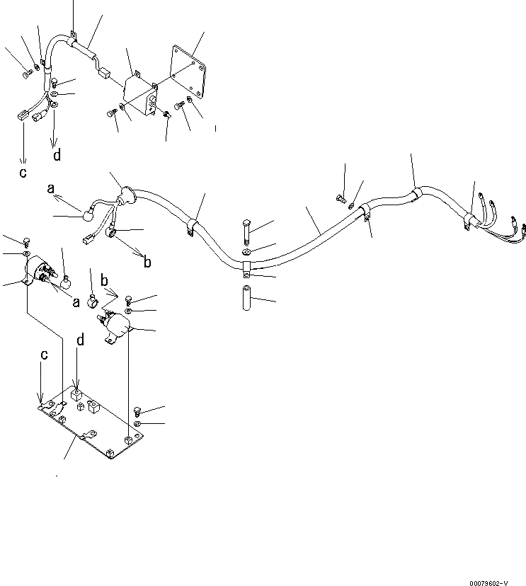
Запчасти Komatsu D475A-5E0 КРЫЛО (ОБОГРЕВАТЕЛЬ. РЕЛЕ Э/ПРОВОДКА) (ДЛЯ EXTRA ПЛОХ. ТОПЛИВО) ЧАСТИ КОРПУСА

Схема запчастей Komatsu D475A-5E0 - КРЫЛО (ОБОГРЕВАТЕЛЬ. РЕЛЕ Э/ПРОВОДКА) (ДЛЯ EXTRA ПЛОХ. ТОПЛИВО) ЧАСТИ КОРПУСА
1
2
3
3
3
3
3
4
5
6
7
8
9
10
11
12
12
13
13
14
14
15
15
16
16
17
18
19
20
21
22
23
24
25
25
26
27
28
29
FIT
1:1
100%

Артикул

Название

Примечание

Количество

1

198-06-71540

WIRING HARNESS

SN: 30001-UP

1шт.

2

08037-12536

GROMMET

SN: 30001-UP

1шт.

3

04434-52312

CLIP

SN: 30001-UP

5шт.

4

01010-81225

BOLT

SN: 30001-UP

4шт.

5

01643-31232

WASHER

SN: 30001-UP

4шт.

6

195-01-16420

COLLAR

SN: 30001-UP

1шт.

7

01643-31232

WASHER

SN: 30001-UP

1шт.

8

01011-81220

BOLT

SN: 30001-UP

1шт.

9

198-06-71550

PLATE

SN: 30001-UP

1шт.

10

01010-81225

BOLT

SN: 30001-UP

2шт.

11

01643-31232

WASHER

SN: 30001-UP

2шт.

12

600-815-2690

SWITCH

SN: 30001-UP

2шт.

13

01010-80820

BOLT

SN: 30001-UP

4шт.

14

01643-30823

WASHER

SN: 30001-UP

4шт.

15

08038-02027

CAP

SN: 30001-UP

4шт.

16

08038-00525

CAP

SN: 30001-UP

2шт.

17

198-54-77930

PLATE

SN: 30001-UP

1шт.

18

01010-81225

BOLT

SN: 30001-UP

2шт.

19

01643-31232

WASHER

SN: 30001-UP

2шт.

20

600-815-9471

SWITCH

SN: 30099-UP

1шт.

20

0

SWITCH

SN: 30001-30098

1шт.

21

01010-80820

BOLT

SN: 30001-UP

4шт.

22

01643-30823

WASHER

SN: 30001-UP

4шт.

23

08504-10000

CAP

SN: 30001-UP

1шт.

24

198-06-71530

WIRING HARNESS

SN: 30001-UP

1шт.

25

04434-51712

CLIP

SN: 30001-UP

2шт.

26

01010-81225

BOLT

SN: 30001-UP

2шт.

27

01643-31232

WASHER

SN: 30001-UP

2шт.

28

01010-81225

BOLT

SN: 30001-UP

1шт.

29

01643-31232

WASHER

SN: 30001-UP

1шт.

Выбрано товаров: 30